Dense Air

Yes. However I've never understood why the effect of the cold heavy air wouldn't also be felt by the anemometer that it's spinning so it would measure x% faster anyway.
You have to consider why the cups go round at all! It's because the drag coefficient of an open hemisphere (cup) is higher than the back face (the ball). The Aenomometer, unless it has lots of friction (it shouldn't) will thus turn with the result that the ball side goes against the wind and the cup goes downwind, accelerating until the force on both are the same.

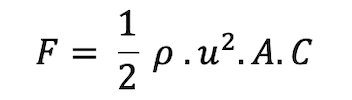
Using the Raleigh formula referred to above, the force is:
Screenshot 2024-09-10 at 22.43.03.png
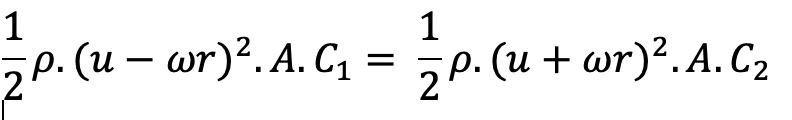
So, equating the force on the two cups:
Screenshot 2024-09-10 at 22.44.23.png
Where the rotational speed is w radians per second, and the radius of the anemometer is r. A is the area of the cup, and C is the, shape dependent, coefficient aka drag factor.

An open cup has C1 ~ 1.4 and the closed (ball shaped) cup has C2 ~ 0.4
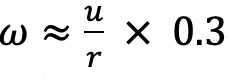
So, solving the quadratic equation for w gives
Screenshot 2024-09-10 at 22.52.56.png
This is independent of density: the rotation speed depends only on u, the wind velocity. Same reading at 6000 feet ASL just as rogerthebodger said.
 
Last edited:
Wow! This become much more technical and complicated than I expected.
I hesitate to introduce the touchy subject of anchoring, but consider a boat anchored (any anchor, let's not go down that road), with its anemometer reading 30 knots of wind at 10°C. Would the wind force (thrust) acting on the boat be less if with the same wind strength, the temperature became 20 or 30°C?
Read post 11. It's not temperature, it is boundry layers.

Temperature differences drive this, but it is not differences in density that you are noticing. This is why spring and fall sailing are so different, at least where I live, because the water temperature varies from 0 to 26 C and the air from -5 to 35C. The air can be either much warmer or much colder than the water. The examples in post 11 were -4 to +4 C, but -20 to +25 C is not that unusual here at the change of seasons. Icy water with warm air in the spring, and icy wind with swimable water in the late fall.
 
Last edited:
Read post 11. It's not temperature, it is boundry layers.

Read post 1, that was what i was referring to.
I get that. It was not you I was responding to.

Really though, the boundary layers are the big lever. Density matters only it's effect on the layers. The range of density is too small to be felt.
 
Now I am really confused, having consulted my mate Google, Dry air is in fact denser than humid air because the water molecules are lighter. 🤔 Therefore the greater the humidity the lighter the air causing it to head forth to the clouds causing the barometer to drop. Then why is good weather associated with High Barometric pressure.
 
Now I am really confused, having consulted my mate Google, Dry air is in fact denser than humid air because the water molecules are lighter. 🤔 Therefore the greater the humidity the lighter the air causing it to head forth to the clouds causing the barometer to drop. Then why is good weather associated with High Barometric pressure.
Yes!

You will sometimes see fog flow down mountain sides, but that is air weighted down with a sol of water particles.
 
You have to consider why the cups go round at all! It's because the drag coefficient of an open hemisphere (cup) is higher than the back face (the ball). The Aenomometer, unless it has lots of friction (it shouldn't) will thus turn with the result that the ball side goes against the wind and the cup goes downwind, accelerating until the force on both are the same.

Using the Raleigh formula referred to above, the force is:
View attachment 182779
So, equating the force on the two cups:
View attachment 182780
Where the rotational speed is w radians per second, and the radius of the anemometer is r. A is the area of the cup, and C is the, shape dependent, coefficient aka drag factor.

An open cup has C1 ~ 1.4 and the closed (ball shaped) cup has C2 ~ 0.4
So, solving the quadratic equation for w gives
View attachment 182790
This is independent of density: the rotation speed depends only on u, the wind velocity. Same reading at 6000 feet ASL just as rogerthebodger said.
And suddenly it all becomes clear. Thank you for taking the time to write that.
 
I've always understood there this a difference but used the ultimate measurement of wind effect.

The Shetland Scale

0​
<1​
Calm​
Non-existent state of affaires in Shetland. Smoke rises vertically from the cigarettes of smokers thrown out of the pub onto the street due to the smoking in public places ban.​
1​
1-3​
Light air​
Rancid stench from the Bressay gut factory becomes apparent for the first time. Drew Ratters voice becomes audible for most Shetland inhabitants.​
2​
4-6​
Light breeze​
Hot air from Shetland Island Council chamber debate felt on the face.​
3​
7-10​
Gentle breeze​
Polystyrene tattie containers blown about the street. Red tins start to roll around.​
4​
11-16​
Moderate breeze​
Shetlanders notice air moving for the first time. The stench from the Bressay gut factory becoming unbearable.​
5​
17-21​
Fresh breeze​
Syrups, rugs and other requisites for the follically challenged become dislodged. Comb-overs become undone.​
6​
22-27​
Strong breeze​
Effects difficult to discern due to lack of trees, but if there were any they wouldn't be moving and would be suggesting that their mainland counterparts that they should ‘toughen up’.​
7​
28-33​
Near gale​
The approach and landing at Sumburgh Airport becomes ‘interesting’. Southern England warned of possible ‘structural damage’ to much amusement in Shetland.​
8​
34-40​
Gale​
Skippers of Hjaltland/Hrossey give thought to not sailing. Shetlanders consider it to be a ‘good drying breeze’ and put their washing out for the first time. Southern England utterly devastated.​
9​
41-47​
Strong gale​
Peter Dinardo able to walk upright for the first time. First remarks from Shetlanders about it being ‘a bit o a breeze’. Southern England speechless.​
10​
48-55​
Storm​
Spurs v Thistle football match at Clickimin goes ahead as planned. All English Premiership matches are cancelled.​
11​
56-63​
Violent storm​
CNN hack reporting an approaching hurricane in Florida have difficulty in standing. Shetlanders go shopping and stop to ‘yarn’ with friends in the street.​
12​
64>​
Hurricane​
Most of Florida laid to waste. CNN reporter disappeared. Shetlanders consider taking in the washing and having a ‘night afore da fire’, before dismissing the idea as rubbish and going to the pub anyway.​

In my experience on a small boat things get unpleasant in a strong gale.
 
Top